尽管美国总统唐纳德·特朗普的关税威胁着市场,交易员们仍押注欧元将在下个月走强。
所谓的风险逆转是备受关注的仓位晴雨表,周一,投资者对欧元的看涨情绪达到 2020 年底以来的最高点。尽管人们担心欧洲经济可能受到沉重的税收打击,而且欧元今年开局已经创下 2016 年以来的最佳水平,但投资者仍对欧元持乐观态度。
这种积极情绪标志着欧元发生了翻天覆地的变化,表明市场押注贸易战对美国的损害将大于对欧洲的损害,而欧洲在国防方面的大手笔支出可能会支撑经济。上个月,人们对欧元走强时获利的期权的需求激增,增幅达到十年来的最快水平,欧元兑美元期权交易量创下历史新高。
布朗兄弟哈里曼公司高级策略师Elias Haddad表示:“德国的宽松财政政策和欧盟的军事建设计划降低了欧洲央行降息幅度超过当前预期的必要性。欧洲央行利率预期小幅上调的可能性对欧元有利。”

互换市场数据显示,欧洲央行今年将再降息两次,每次降息 25 个基点,再次降息的可能性为 42%。市场将于 4 月 2 日了解美国对世界其他地区征收关税的范围。
周二,《华盛顿邮报》报道称,白宫已起草一项提案,将对至少大多数美国进口产品征收约 20% 的关税。欧元兑美元汇率一度下跌 0.2%,至 1.0791 美元。今年以来,欧元兑美元仍上涨逾 4%。

情绪的重新定价在长期内也很明显。虽然一年期风险逆转仍表明欧元将在 12 个月内走弱,但该指标 3 月份涨幅创历史第二高,这表明交易员对欧元的看法正在迅速变得更加乐观。
3 月份欧元涨幅创下纪录时,对合约的需求激增,通过 DTCC 交易的五分之三的普通期权与欧元上涨有关。对更多奇异期权的需求也激增,推动所谓的 10-delta 之间的波动率差值升至四年来的最高水平——这表明交易员认为强劲上涨的可能性更大,而不是大幅回调。
技术面分析:
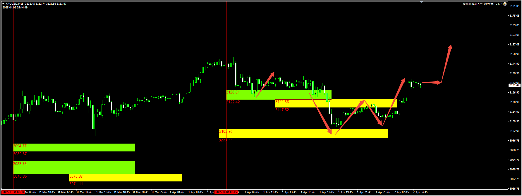
黄金:隔夜金价的走势基本在我们插件提醒的节点上。首先绿色需求区域帮助价格多次反弹出现10美元的空间。随后价格在跌破黄色区域后,开始出现v型反转的走势,这正式扫流动性之后的反弹信号。日内我们建议继续关注动能突破的走势,和扫流动性的信号。详细位置请咨询插件。

(黄金15min图)
插件每个交易日12:00-13:00更新,想要体验图中同款插件请联系V:Hana-fgfg
纳指:昨天我们在文中和插件上明确提醒了,价格下方支撑可能出现在19250附近。价格最低跌至19259之后就开始了反弹走势。今天市场将迎来关税二阶段的考验,我们建议保持扫流动性之后的低买信号,和动能突破的信号同时关注。详细位置请咨询插件。

(纳指 15min图)
插件每个交易日12:00-13:00更新,想要体验图中同款插件请联系V:Hana-fgfg
原油:隔夜价格走势基本在我们的预期范围之内,黄色的区域没有被跌破,也没有发生很明显的反弹动能。日内我们建议关注自身新鲜的动能突破走势的信号,同时绿色低买的挂单可以继续保持。详细位置请咨询插件。

(原油 15min图)
插件每个交易日12:00-13:00更新,想要体验图中同款插件请联系V:Hana-fgfg
今日重点关注的财经数据与事件:
20:15 美国3月ADP就业人数变动(千人)
22:00 美国2月耐用品订单修正值
未定 美国总统特朗普计划实施对等关税和行业特定关税


